1. Ezpay

    EN
    血浆生物标志物Aβ42/40、NfL、GFAP和p181Tau对不同类型痴呆鉴别诊断能力
    发布时间:2023-08-04


    AD学术文献_20230804091615.png


    研究概述

    本研究使用Simoa检测技术对来自阿姆斯特丹的两个独立队列(n = 160n = 152)进行了生物标志物的检测,并且其中一个队列利用质谱(MS)技术检测了Aβ1-42/1-40水平。顺利获得逻辑回归中的Wald检验,评估了这些标志物的诊断价值。

    Aβ1-42/1-40标志物在区分AD与对照组时,MSSimoa 两种技术的结果类似。NfLp-tau181组合(AUC= 0.94,队列1),或者NfL、GFAPp-tau181组合(AUC = 0.90,队列2)可以很好区分ADFTD。而NfL、p-tau181GFAP组合(AUC = 0.88,队列1),或仅p-tau181 (AUC = 0.81,队列2)就可以很好区分DLBAD

    血浆p-tau181、NfLGFAP的组合更有助于鉴别AD、FTDDLB

     

    研究结果

    一、Aβ1-42/1-40SimoaIPMS两种平台中的检测结果

    在队列1中,两种平台测定的Aβ1-42/1-40比值仅中度相关(r = 0.34, P < 0.001, n = 159;图1 A),且两种检测平台的血浆Aβ1-42/1-40比值与CSFAβ1-42浓度的相关性相似 (1B;1C)。与对照组相比,Simoa平台中,AD患者的Aβ1-42/1-40比值的中位值降低了16%(图2A);IPMS 平台中这一数值下降了17%(图 2B)。

    Simoa平台区分对照组和AD患者的AUC=0.80,灵敏度和特异性分别为0.900.65(图2C);IPMS 平台区分对照组和AD患者的AUC=0.82,灵敏度和特异性分别为0.780.83(图2C)。两种检测平台具有相似的AUC,SimoaN4PE试剂盒作为一种多重检测方法,它可以同时测量多个独立的标志物(包括Aβ1-42、Aβ1-40、NflGFAP),灵敏度高,并且比IPMS需要的体积更少,其诊断价值更高。

     图1_20230804092053.png

    1. 淀粉样血浆标志物与脑脊液标志物的相关性研究

     

     图2_20230804091949.png

    2. CSF淀粉样蛋白标志物区分对照组和AD患者的准确性研究

    二、各标志物在两个队列的鉴别诊断

    除了Aβ1-42/1-40比值,本研究还检测了NfL、GFAPp-tau181水平。

    在队列1中,与对照组相比,Aβ1-42/1-40比值在AD (P < 0.001)、FTD (P = .010)DLB患者(P = .002)中都有所下降,且该比值在这几种患者中无差异(P > .48)NfL在所有诊断组中的浓度都有升高(P < 0.001),在FTD患者中最高。GFAP在所有诊断组中浓度也都有升高(P < 0.001),在AD患者中最高。而P-tau181只在AD患者中浓度有所升高(P≤.001;图3),其他痴呆组无变化。

    在队列2中,只有AD患者的Aβ1-42/1-40比值比对照组降低(P = .002)NfLp-tau181结果与队列1相似, GFAP浓度则与队列1相反,AD(P<0.001)和DLB患者(P=0.042)均升高,但FTD患者无变化(P=.060,图3)。

     图3_20230804091923.png

    3. 使用Simoa平台检测血浆中( A) Aβ1-42/1-40, (B) NfL, (C) GFAP, (D) p-tau181浓度

     

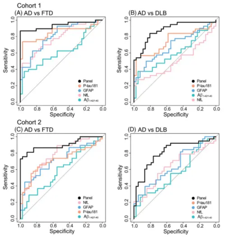
    三、AD versus FTD

    在队列1中,AUC值最低为Aβ1-42/1-40,最高为p-tau181 (4A),可用于区分AD患者和FTD患者。NfLp-tau181的组合为ADFTD的最佳鉴别诊断组合,AUC0.94

    与队列1类似,队列2AUC最低为Aβ1-42/1-40的,最高为NfL (4C),可用于区分ADFTD患者。可将NfL、GFAPP -tau181作为ADFTD的最佳鉴别诊断组合,其AUC0.88

     

    四、AD versus DLB

    在队列1中区分ADDLB患者时,AUC值最低为NfL,最高为p-tau181 (4B)。可将NfL、GFAPP -tau181作为ADDLB的最佳鉴别诊断组合,AUC0.88

    在队列2中,Aβ1-42/1-40AUC最低,P -tau181AUC最高(4D),可用于区分ADDLB

     图4_20230804091852.png

    4. 不同生物标志物的ROC曲线

     

    研究结论

    1、 SimoaIPMS 两种平台在顺利获得检测Aβ1-42/1-40比值来鉴别脑脊液淀粉样蛋白阳性AD患者和阴性对照时结果相似。

    2、结合患者的特征,如年龄、性别等,区别ADFTD、ADDLB的最佳血浆生物标志物为p-tau181,它与GFAPNfL进行不同组合则具有更高的诊断价值。


    咨询热线:021-50680557

    地址:中国上海自由贸易试验区港澳路271号2幢5楼